
1、傳感器最流行的分類方法有哪些?在物理型傳感器中,按構成原理,能量關系及作用分類有哪些傳感器?按基本效應分類有哪些?
(1)傳感器最流行的分類方法有兩種:一種是按傳感器的工作原理分類,一種是按被測非電量分類。
(2)物理型傳感器可分為電學式傳感器、磁學式傳感器、光電式傳感器、電扮式傳感器、電荷式傳感器、半導體傳感器、諧原式傳感器等在物理型傳感器中又可分為物性型傳感器和結構型傳感器
(3)傳感器按工作原理不同可分為物理型、化學型及生物型三大類。傳感器按能量關系可分為能量轉換型傳感器和能量控制型傳感器。傳感器按對信號的檢測轉換過程,課分為直接轉換型傳感器和間接轉換型傳感器。
2、金屬應變片與半導體應變片有何不同?
(1)靜態特征不同:金屬應變片的靈敏系數K與外力F的方向無關,只與絕力F的大小有關并小于制成該應變片敏感柵同等長度值電阻絲的靈敏系數Ks且同批量應變片的K不完全相等。同時金屬應變片具有橫向效應及橫向效應系數(H)、機械滯后、零源和蠕變現象而半導體應變片具有應變——電阻特征、電阻——溫度特征、靈敏系數——溫度特征。
(2)結構的不同:金屬應變片由敏感柵、基底、覆蓋層、引線、粘結劑組成半導體應變片最多的是由單晶硅組成,即單晶硅半導體。
(3)溫度誤差及其補償方法不同:金屬應變片產生主要用自補償法(單絲自補償法和雙絲自補償法),橋路補償法(補償片法和差動補償法)、熱能電阻補償法;而半導體應變片則用電阻溫度系數補償法和靈敏系數溫度補償法。
(4)工作原理的不同:金屬應變片是通過外力的作用使其阻值發生變化,從而進行工作,半導體應變片是對不同類型的半導體絕加不同方向的外力,產生壓阻效應,使其電阻率變化。
3、傳感器的動態特征是什么?其分析方法有哪幾種?
傳感器對時間變化的輸入激勵的響應特征即為動態特征,研究動態特征的方法有兩種:時域法和頻域法。在時域內研究動態特征采用瞬態響應法,在頻域內研究動態特征采用頻率響應法。
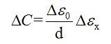
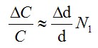
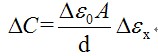
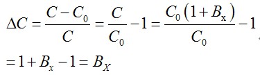
4、電容式傳感器有哪三大類?推導電容變化后的輸出公式?
電容傳感器可分為變極距型、變面積型、變介質型三種電容式傳感器。
差動變極距: 
固定介質的變極距: 
線位移式平板: 
圓柱形線位移:
含有被測介質和空氣兩種介質時介質本身介電常數變化的: 
只有一種介質本身介電常數: 
角位移式: 
改變工作介質的: 
5、光電倍增管產生暗電流的原因是什么?如何減小或消除?
(1)倍增管產生暗電流的原因有:光電陰極和倍增電極的熱電子發射;陰極與其他電極之間的漏電流;產生漏電流的原因有二:一是多余的銫原子沉積于各電極之間,導致絕緣電阻下降;二是管基受潮,使玻璃內硅酸鹽水解形成電解液,導致絕緣電阻下降,離子反饋和光反饋,場致發射。
(2)減小方法:盡量減小光電陰極與倍增電極的熱電子發射;消除管內多余的銫原子和保持管殼干燥;將管內抽成真空,消除離子反饋和光反饋;將管內電極邊緣轉彎,尖角修圓,減小場致發射。
